blog

blog

Thursday, June 4, 2015

PYQ Chapter 1 class 9- Rational numbers



  1. z
  2. .
----------------4 marks Questions------------

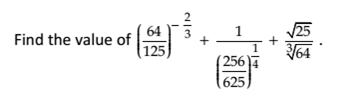
24
26

27
28
29
30
31
32
33
34

No comments:

Post a Comment